datasets::warpbreaks
?warpbreaks  # warpbreaks 도움말 보기
# 아래는 example(warpbreaks) 입니다.
require(stats); require(graphics)
summary(warpbreaks)
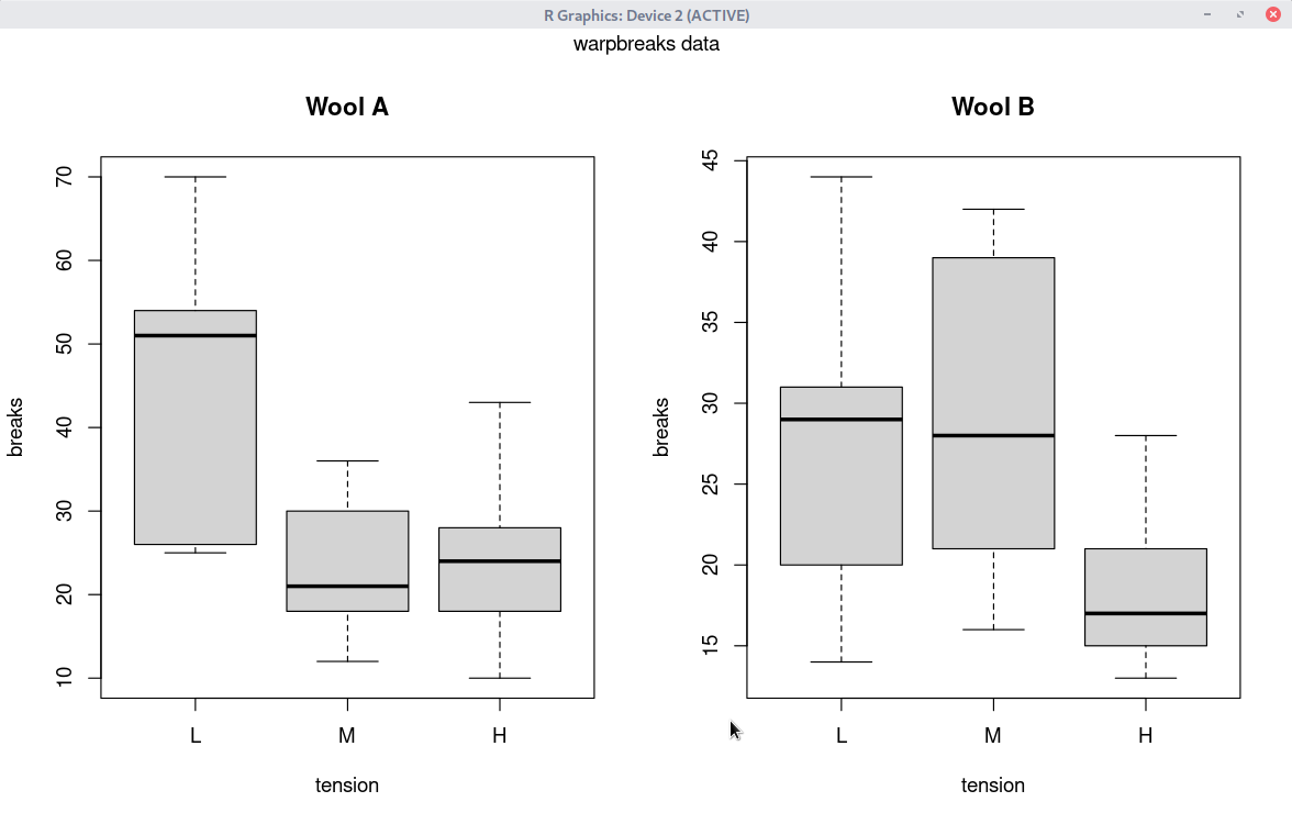
opar <- par(mfrow = c(1, 2), oma = c(0, 0, 1.1, 0))
plot(breaks ~ tension, data = warpbreaks, col = "lightgray",
     varwidth = TRUE, subset = wool == "A", main = "Wool A")
plot(breaks ~ tension, data = warpbreaks, col = "lightgray",
     varwidth = TRUE, subset = wool == "B", main = "Wool B")
mtext("warpbreaks data", side = 3, outer = TRUE)
par(opar)
summary(fm1 <- lm(breaks ~ wool*tension, data = warpbreaks))
anova(fm1)




'Dataset_info > warpbreaks' 카테고리의 다른 글
| warpbreaks 데이터셋 (0) | 2022.03.20 | 
|---|