datasets::warpbreaks

?warpbreaks  # warpbreaks 도움말 보기

# 아래는 example(warpbreaks) 입니다.

require(stats); require(graphics)
summary(warpbreaks)
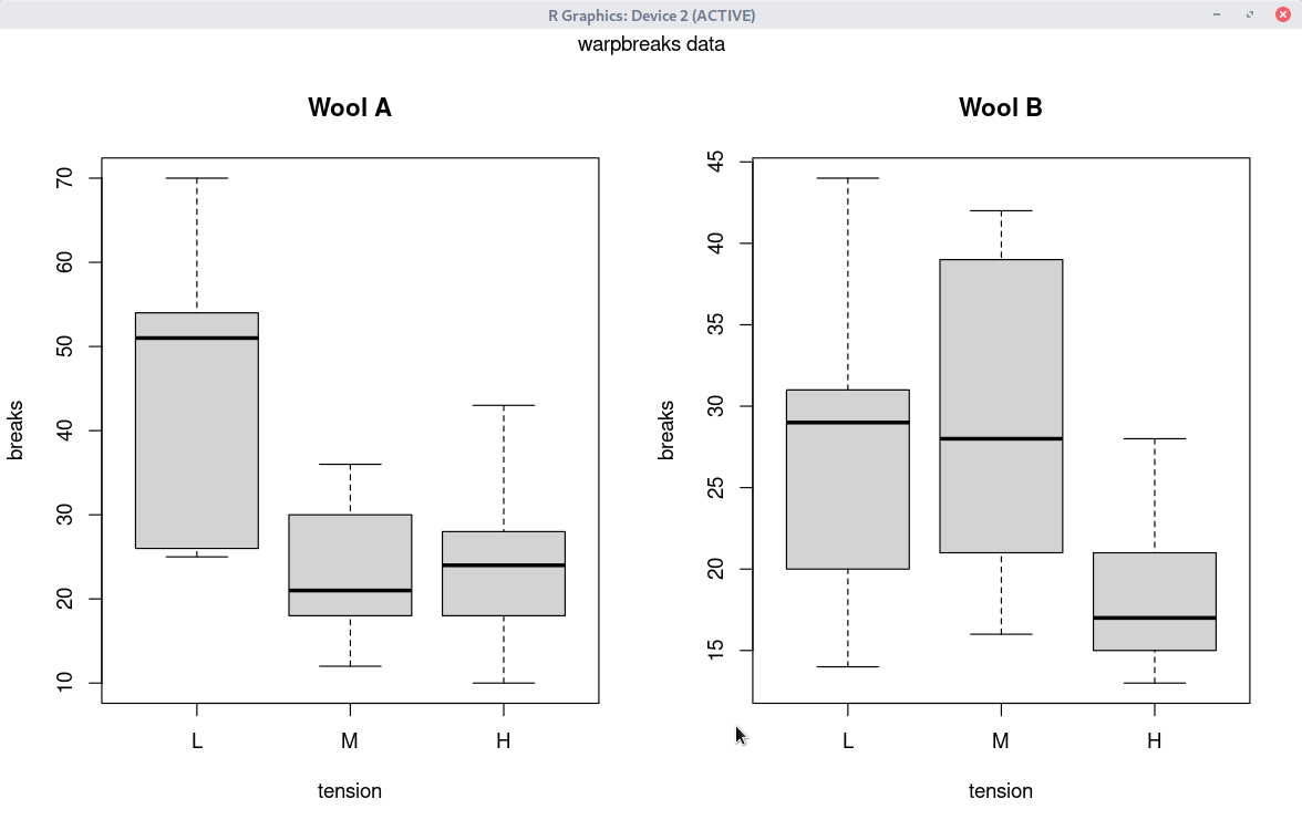
opar <- par(mfrow = c(1, 2), oma = c(0, 0, 1.1, 0))
plot(breaks ~ tension, data = warpbreaks, col = "lightgray",
     varwidth = TRUE, subset = wool == "A", main = "Wool A")
plot(breaks ~ tension, data = warpbreaks, col = "lightgray",
     varwidth = TRUE, subset = wool == "B", main = "Wool B")
mtext("warpbreaks data", side = 3, outer = TRUE)
par(opar)
summary(fm1 <- lm(breaks ~ wool*tension, data = warpbreaks))
anova(fm1)

Linux 사례 (MX 21)
Linux 사례 (MX 21)
Linux 사례 (MX 21)
Linux 사례 (MX 21)
Linux 사례 (MX 21)

'Dataset_info > warpbreaks' 카테고리의 다른 글

warpbreaks 데이터셋  (0) 2022.03.20

datasets::warpbreaks()

Linux 사례 (MX 21)

data(warpbreaks, package="datasets") # 데이터셋 불러오기	
help("warpbreaks")                   # 데이터셋 도움말 보기
summary(warpbreaks)                  # 데이터셋 통계 요약 보기

Linux 사례 (MX 21)

R Commander 화면 상단 우측에 있는 <데이터셋 보기> 버튼을 누른다. 아래와 같이 warpbreaks 데이터셋의 내부 구성을 볼 수 있다.

Linux 사례 (MX 21)


warpbreaks {datasets} R Documentation

The Number of Breaks in Yarn during Weaving

Description

This data set gives the number of warp breaks per loom, where a loom corresponds to a fixed length of yarn.

Usage

warpbreaks

Format

A data frame with 54 observations on 3 variables.

[,1] breaks numeric The number of breaks
[,2] wool factor The type of wool (A or B)
[,3] tension factor The level of tension (L, M, H)

There are measurements on 9 looms for each of the six types of warp (AL, AM, AH, BL, BM, BH).

Source

Tippett, L. H. C. (1950) Technological Applications of Statistics. Wiley. Page 106.

References

Tukey, J. W. (1977) Exploratory Data Analysis. Addison-Wesley.

McNeil, D. R. (1977) Interactive Data Analysis. Wiley.

See Also

xtabs for ways to display these data as a table.

Examples

require(stats); require(graphics)
summary(warpbreaks)
opar <- par(mfrow = c(1, 2), oma = c(0, 0, 1.1, 0))
plot(breaks ~ tension, data = warpbreaks, col = "lightgray",
     varwidth = TRUE, subset = wool == "A", main = "Wool A")
plot(breaks ~ tension, data = warpbreaks, col = "lightgray",
     varwidth = TRUE, subset = wool == "B", main = "Wool B")
mtext("warpbreaks data", side = 3, outer = TRUE)
par(opar)
summary(fm1 <- lm(breaks ~ wool*tension, data = warpbreaks))
anova(fm1)

[Package datasets version 4.0.4 Index]

'Dataset_info > warpbreaks' 카테고리의 다른 글

warpbreaks 데이터셋 예제  (0) 2022.06.25

+ Recent posts